Myths about teaching can hold you back
- Year 1
Solve problems using part-part-whole models with more than two parts
I can solve problems using a part-part-whole model to represent a whole partitioned into more than two parts.
- Year 1
Solve problems using part-part-whole models with more than two parts
I can solve problems using a part-part-whole model to represent a whole partitioned into more than two parts.
These resources will be removed by end of Summer Term 2025.
Switch to our new teaching resources now - designed by teachers and leading subject experts, and tested in classrooms.
These resources were created for remote use during the pandemic and are not designed for classroom teaching.
Lesson details
Key learning points
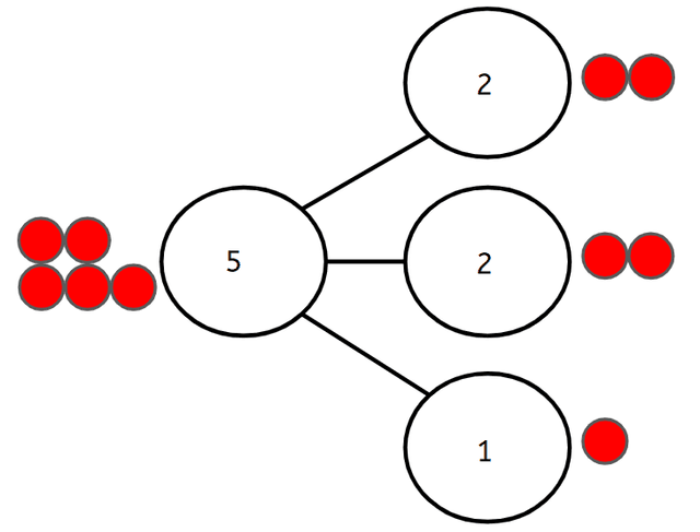
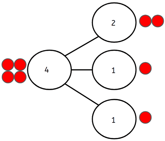
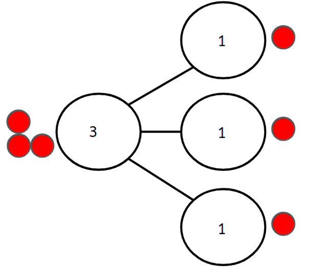
- A whole group can be split into more than 2 parts and the parts may look different.
- Make up a story that represents partitioning into three or more parts.
Keywords
Whole - All of something. Complete.
Part - A piece of a whole.
Part-whole model - A pictorial representation that shows the whole and its parts.
Common misconception
Children may get confused between the parts and the whole.
Ask the children 'What does this number represent?' and encourage them to use the stem sentences to justify their answers.
To help you plan your year 1 maths lesson on: Solve problems using part-part-whole models with more than two parts, download all teaching resources for free and adapt to suit your pupils' needs...
To help you plan your year 1 maths lesson on: Solve problems using part-part-whole models with more than two parts, download all teaching resources for free and adapt to suit your pupils' needs.
The starter quiz will activate and check your pupils' prior knowledge, with versions available both with and without answers in PDF format.
We use learning cycles to break down learning into key concepts or ideas linked to the learning outcome. Each learning cycle features explanations with checks for understanding and practice tasks with feedback. All of this is found in our slide decks, ready for you to download and edit. The practice tasks are also available as printable worksheets and some lessons have additional materials with extra material you might need for teaching the lesson.
The assessment exit quiz will test your pupils' understanding of the key learning points.
Our video is a tool for planning, showing how other teachers might teach the lesson, offering helpful tips, modelled explanations and inspiration for your own delivery in the classroom. Plus, you can set it as homework or revision for pupils and keep their learning on track by sharing an online pupil version of this lesson.
Explore more key stage 1 maths lessons from the Comparing quantities - part part whole relationships unit, dive into the full primary maths curriculum, or learn more about lesson planning.
Equipment
Licence
Prior knowledge starter quiz
6 Questions
Q1.Is 5 the whole or a part?

Q2.Is 8 the whole or a part?

Q3.What is the whole?

Q4.What is the missing part?

Q5.Which part-whole model is showing Sofia’s counters correctly partitioned?




Q6.Which part-whole model is showing Jacob’s counters correctly partitioned?




Assessment exit quiz
6 Questions
Q1.How many cubes are in the whole?

Q2.How many cubes are in the missing part?

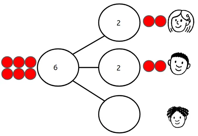
Q3.Sofia has 5 counters, Lucas has 3 counters and Jacob has 2 counters. Which part-whole model is showing their counters?



Q4.Sofia has 2 counters, Lucas has 2 counters and Jacob has 1 counter. Which part-whole model is showing their counters?



Q5.The whole is 6. Sofia has 2 counters and Lucas has 2 counters. How many counters does Jacob have?

Q6.The whole is 8. Sofia has 5 counters and Lucas has 2 counters. How many counters does Jacob have?
