Myths about teaching can hold you back
- Year 1
Use a bar model to represent a whole partitioned into two parts
I can use a bar model to represent the different ways of partitioning a number into two parts.
- Year 1
Use a bar model to represent a whole partitioned into two parts
I can use a bar model to represent the different ways of partitioning a number into two parts.
These resources will be removed by end of Summer Term 2025.
Switch to our new teaching resources now - designed by teachers and leading subject experts, and tested in classrooms.
These resources were created for remote use during the pandemic and are not designed for classroom teaching.
Lesson details
Key learning points
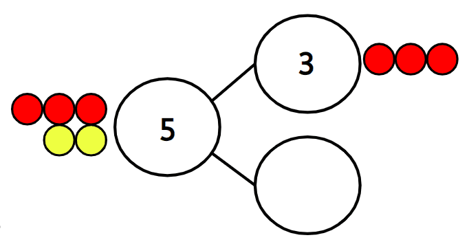
- Partitioning can be represented using the bar model.
- There are ___ objects. ___ is the whole.
- There are ___ and ___. ___ is a part. ___ is a part.
- Combine the bars to form the full bar model, and compare this with the part-part-whole model.
Keywords
- Partition - To split a whole up into parts. 
- Combine - To put parts together to make a whole. 
- Bar model - A bar model is a pictorial representation of a problem where bars are used to represent the known and unknown quantities. 
Common misconception
Children may not see the bar model as proportional, so may think that the parts are equal.
Encourage children to see that the bars are proportional to help them get a sense of the size of the parts and whole.
To help you plan your year 1 maths lesson on: Use a bar model to represent a whole partitioned into two parts, download all teaching resources for free and adapt to suit your pupils' needs...
To help you plan your year 1 maths lesson on: Use a bar model to represent a whole partitioned into two parts, download all teaching resources for free and adapt to suit your pupils' needs.
The starter quiz will activate and check your pupils' prior knowledge, with versions available both with and without answers in PDF format.
We use learning cycles to break down learning into key concepts or ideas linked to the learning outcome. Each learning cycle features explanations with checks for understanding and practice tasks with feedback. All of this is found in our slide decks, ready for you to download and edit. The practice tasks are also available as printable worksheets and some lessons have additional materials with extra material you might need for teaching the lesson.
The assessment exit quiz will test your pupils' understanding of the key learning points.
Our video is a tool for planning, showing how other teachers might teach the lesson, offering helpful tips, modelled explanations and inspiration for your own delivery in the classroom. Plus, you can set it as homework or revision for pupils and keep their learning on track by sharing an online pupil version of this lesson.
Explore more key stage 1 maths lessons from the Composition of numbers 0 to 5 unit, dive into the full primary maths curriculum, or learn more about lesson planning.
Licence
Prior knowledge starter quiz
6 Questions
Q1.Is 5 the whole or a part?

Q2.What is the whole?

Q3.What is the missing part?

Q4.What is the missing part?

Q5.Which part-part-whole model is showing Jacob’s cubes correctly partitioned?




Q6.Which part-part-whole model is showing the birds correctly partitioned?




Assessment exit quiz
6 Questions
Q1.Match each word to its definition. 
to split a whole up into parts.
to put the parts together to make the whole.
Q2.Which bar model is showing these cubes partitioned correctly?




Q3.Which bar model matches the part-part-whole model?




Q4.Jacob has 2 cubes and Izzy has 1 cube. Which bar model is correctly showing their cubes?




Q5.Jacob thinks the missing part will be the same for all of these. Is he correct?

Q6.Izzy thinks the missing part will be the same for all of these. Is she correct?
